超强激光科学卓越创新简报
(第四百八十七期)
2024年3月18日
上海光机所在掺钕石英玻璃三能级跃迁的温度依赖性研究中取得进展
近日,永乐汇先进激光与光电功能材料部胡丽丽研究员团队在掺钕石英玻璃三能级跃迁的温度依赖性研究中取得进展。团队系统研究了掺钕石英玻璃三能级跃迁特性随温度变化的关系,加深了对三能级跃迁行为的理解,为获得高功率高效率900 nm激光提供了理论基础。相关成果以“Temperature dependence behaviors of three-level transition in Nd3+/Al3+ Co-doped silica glass”为题发表于Journal of Luminescence。
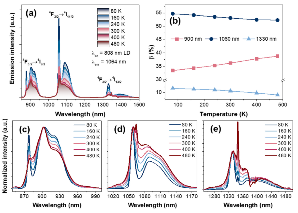
三能级跃迁是产生激光的重要形式。由于激光下能级即为基态能级,导致三能级跃迁激光受到温度的调控。近年来,因在双光子成像和倍频产生深蓝激光方面的应用发展,源于掺钕激光材料三能级跃迁的900 nm激光成为研究热点。然而,关于掺钕激光材料三能级跃迁的温度依赖性研究却鲜有报道。
通常来说,由于高温时自吸收增强,不利于三能级跃迁。该研究团队发现在掺钕石英玻璃中900 nm处的荧光分支比会随着温度的升高而增加。基于Judd-Ofelt理论和能级分裂的分析表明,随着温度提高,尽管增强的非辐射跃迁会导致荧光强度整体降低,但电子云重排和能级分裂增强有利于900 nm处的荧光分支比提高。这些结果将提高对Nd3+三能级跃迁温度依赖性的理解,并有助于900 nm激光器的应用和发展。
相关研究得到了国家自然科学基金的支持。

图 1. 掺钕石英玻璃在不同温度下的(a)荧光光谱, (b)荧光分支比, (c–e)各波段归一化荧光光谱。

图2. 掺钕石英玻璃在不同温度下的(a) 能级结构, (b) 标量晶体场强。