超强激光科学卓越创新简报
(第四百八十六期)
2024年3月18日
近日,永乐汇先进激光与光电功能材料部在Nd:ASL(Sr0.7Nd0.05La0.25Mg0.3Al22.7O19)激光晶体研究方面取得进展,相关成果以“Tunable laser operations on Nd-doped strontium and lanthanum aluminate crystals”为题发表于Infrared Physics & Technology。
钕(Nd3+)离子是常见的激活离子之一,其吸收峰与商用激光二极管 (LD) 的发射波长匹配,具有较高的吸收效率,在0.9、1.05、1.35 μm处均有发射峰,在多种基质材料中都获得了激光发射。Nd:ASL是一种典型的无序晶体,属于六方晶系,较高的无序性导致其光谱展宽,有利于产生不同波长的激光。
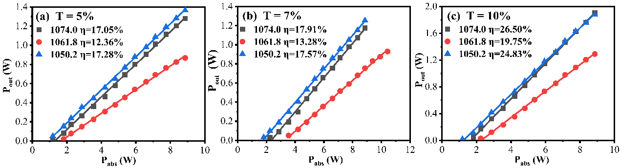
为了探究其调谐特性,研究团队生长了掺杂浓度为5%的Nd:ASL晶体,测得其荧光寿命约为371.8 μs。在1.05 μm附近,其荧光光谱有4个较强且连续的发射谱。在V型谐振腔内插入双折射滤波片,进行可调谐激光实验,通过采用透过率为5%、7%、10%的输出镜,获得了三个独立波长(1050、1062和1074 nm)的激光输出。波长在1049.59–1054.43 nm和1059.71–1078.18 nm两个范围内实现调谐,调谐宽度大于20 nm,与光谱基本吻合。实验中还观察到了多波长激光输出现象。结果表明 Nd:ASL晶体是一种适用于可调谐激光器的增益介质,与仅单一波长激光介质相比,控制和改变波长要方便得多,适合用于更高精度或者更多波长的复杂应用场景。
该工作得到国家自然科学基金委等项目的支持。

图1. Nd:ASL晶体的荧光光谱

图2. 三个波长在不同输出镜透过率的激光输出

图3. 同一吸收泵浦功率下不同波长的输出功率