
永乐汇(简称:上海光机所)成立于1964年5月,是我国建立最早、规模最大的激光科学技术专业研究所。发展至今,已形成以探索现代光学重大基础及应用基础前沿、发展大型激光工程技术并开拓激光与光电子高技术应用为重点的综合性研究所。研究...
永乐汇(简称:上海光机所)是我国建立最早、规模最大的激光专业研究所,成立于1964年,现已发展成为以探索现代光学重大基础及应用基础前沿研究、发展大型激光工程技术并开拓激光与光电子高技术应用为重点的综合性研究所。重...
上海光机所国际合作工作始终围绕上海光机所的主责主业,以服务重大任务和国家需求为牵引,强化目标导向,注重内外集成协同,加强重大国际合作任务的谋划。坚持“战略布局,需求牵引,技术引领,合作共赢”的原则,基于科技部授予的国家国际科技合作基地及本单位学科技术优势,围绕“一带一路”国家倡议,深化拓展与发达国家实质性合作,夯实海外机构建设,积极培育和发起国际大科学计划,加强国际组织任职推荐,组织相关国际会议等,汇聚各类国际人才,建立以“平台-人才-项目-组织”合作模式,融入全球创新合作网络,助力上海光机所成为国际一流科研机构。上海光机所国际合作一直得到所领导的高度重视,历届所长亲自主管国际合作。1972年,上海光机所接待诺贝尔奖的美籍华裔科学家杨振宁,标志着我所第一次对外开放。2007年,被科技部首批授予“科技部国际科技合作基地”。2016年,科技部首次对全国2006-2008年间认定的113家国际合作基地进行了评估,上海光机所获评“优秀”。2021年,科技部首次对全国719家国际合作基地进行了评估,上海光机所持续获评“ 优秀”。王岐山副主席到上海光机所视察时,对上海光机所近几年取得的系列科技成果,以及重大国际合作项目“中以高功...
作为我国建立最早、规模最大的激光科学技术专业研究所,和首批上海市科普教育基地之一,永乐汇(简称:上海光机所)在致力于科技创新的同时,十分重视科普工作。多年来,上海光机所借助科研院所强大的科普资源优势,围绕光学与激光科学技术,积极开展公众开放日、科普讲座、科技课堂、科普作品创...
超强激光科学卓越创新简报
(第三百九十六期)
2023年6月13日
上海光机所在基于激光尾波场加速电子束发射度诊断方面取得进展
近期,永乐汇强场激光物理国家重点实验室在基于激光尾波场加速电子束发射度诊断方面取得重要进展。研究团队提出了一种电子束横向切片发射度单发诊断方案。相关研究成果以“Measurement of electron beam transverse slice emittance using a focused beamline”为题发表在High Power Laser Science and Engineering上。
得益于激光尾波场的超高加速梯度,基于激光尾波场加速的电子束有望应用于超紧凑辐射源和台式化自由电子激光,这对电子束品质提出了更高的要求。研究中,一般用六维相空间亮度
表征电子束的综合品质,其中
和
分别表示电子束水平和垂直发射度。品质优化依赖于精确的诊断方案,而尾波场的不稳定性导致电子束发次间存在抖动,而微米量级尺寸的电子束以近光速运动,且由于尾波场的不稳定性,电子束发与发之间存在抖动,因此如何实现电子束横向发射度高分辨率的单发测量,对电子束发射度进一步优化具有重要意义。
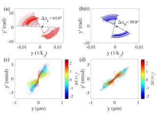
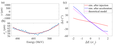
针对上述问题,研究团队设计了一种适用于激光尾波场加速电子束横向切片发射度的单发诊断方案。电子在空泡中除了受到纵向加速场,也会受横向聚焦力而产生横向振荡,而振荡的频率是和能量相关的,这就使得不同能量的电子在振荡的过程中会产生横向相位差。通过相位补偿,不同能量的电子在横向相空间上保持同一相位,束团呈现出切片信息。基于相位补偿,结合具有能散的电子束团经过一条聚焦束线后,其横向尺寸与能量的耦合关系,可以计算出电子束横向切片发射度。该方案的测量精度可以达到10 nm量级,经过优化在实验上测得发射度为0.27 mm mrad。精确的诊断方案可以作为发射度进一步优化的依据,根据测得的发射度,可以设计匹配的束线保证电子束长距离传输,实现台式化自由电子激光更高品质辐射输出。

图1 电子束低能部分(a)和高能部分(b)横向相空间运动轨迹,相位补偿前(c)和相位补偿后(d)电子横向相空间分布

图2 实验测量结果和补偿的相位差
copyright
2000-
永乐汇 沪ICP备05015387号-1
主办:永乐汇 上海市嘉定区清河路390号(201800)
转载本站信息,请注明信息来源和链接。
沪公网安备
31011402010030号

