
永乐汇(简称:上海光机所)成立于1964年5月,是我国建立最早、规模最大的激光科学技术专业研究所。发展至今,已形成以探索现代光学重大基础及应用基础前沿、发展大型激光工程技术并开拓激光与光电子高技术应用为重点的综合性研究所。研究...
永乐汇(简称:上海光机所)是我国建立最早、规模最大的激光专业研究所,成立于1964年,现已发展成为以探索现代光学重大基础及应用基础前沿研究、发展大型激光工程技术并开拓激光与光电子高技术应用为重点的综合性研究所。重...
上海光机所国际合作工作始终围绕上海光机所的主责主业,以服务重大任务和国家需求为牵引,强化目标导向,注重内外集成协同,加强重大国际合作任务的谋划。坚持“战略布局,需求牵引,技术引领,合作共赢”的原则,基于科技部授予的国家国际科技合作基地及本单位学科技术优势,围绕“一带一路”国家倡议,深化拓展与发达国家实质性合作,夯实海外机构建设,积极培育和发起国际大科学计划,加强国际组织任职推荐,组织相关国际会议等,汇聚各类国际人才,建立以“平台-人才-项目-组织”合作模式,融入全球创新合作网络,助力上海光机所成为国际一流科研机构。上海光机所国际合作一直得到所领导的高度重视,历届所长亲自主管国际合作。1972年,上海光机所接待诺贝尔奖的美籍华裔科学家杨振宁,标志着我所第一次对外开放。2007年,被科技部首批授予“科技部国际科技合作基地”。2016年,科技部首次对全国2006-2008年间认定的113家国际合作基地进行了评估,上海光机所获评“优秀”。2021年,科技部首次对全国719家国际合作基地进行了评估,上海光机所持续获评“ 优秀”。王岐山副主席到上海光机所视察时,对上海光机所近几年取得的系列科技成果,以及重大国际合作项目“中以高功...
作为我国建立最早、规模最大的激光科学技术专业研究所,和首批上海市科普教育基地之一,永乐汇(简称:上海光机所)在致力于科技创新的同时,十分重视科普工作。多年来,上海光机所借助科研院所强大的科普资源优势,围绕光学与激光科学技术,积极开展公众开放日、科普讲座、科技课堂、科普作品创...
超强激光科学卓越创新简报
(第七百五十一期)
2026年2月7日
上海光机所在提升硼掺杂金刚石的光电性能方面取得新进展
近期,永乐汇先进激光与光电功能材料部激光晶体研究中心与南京大学电子科学与工程学院和浙江无限钻科技发展有限公司合作,在硼掺杂金刚石的光电性能提升研究方面取得新进展,相关研究成果以“Optical and electrical properties of CVD boron-doped diamond following HPHT annealing”为题发表于Diamond and Related Materials。
硼掺杂金刚石(BDD)因其优异的性能,被视为极具潜力的半导体材料。然而,实现高效的p型导电性仍然具有挑战性,在低硼掺杂浓度下相对较深的受主能级会产生较低的激活效率,限制室温载流子浓度,而重掺杂会导致杂质散射和缺陷形成,从而降低迁移率。
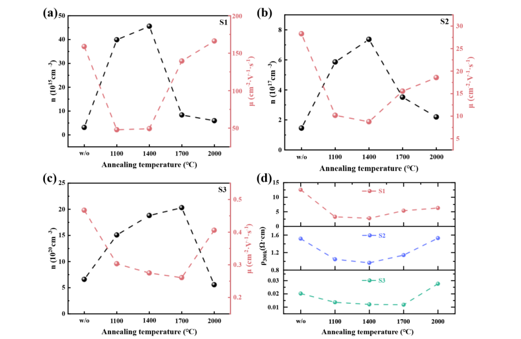
研究团队通过微波等离子体化学气相沉积(MPCVD)生长了不同硼掺杂浓度的金刚石,在5 GPa压力、1100 – 2000 °C温度范围内进行高温高压退火,系统地研究了其光学和电学性能的变化。实验结果显示,在适当的条件下,高温高压退火会使BDD载流子浓度增加一个数量级以上,电导率增加四倍以上,其效果强烈依赖于退火温度和掺杂浓度。综合光谱分析揭示了导致载流子退火温度依赖行为的几个因素,包括晶格应变弛豫、硼束缚激子的修饰和氮空位中心转变。此外,最佳退火温度随掺杂浓度显著变化。这些发现表明,高温高压处理是克服BDD中掺杂限制的一种可行方法,可以推进其在电子设备中的应用。
相关工作得到国家自然科学基金的支持。

图1 不同硼掺杂浓度的BDD样品室温电荷载流子浓度、迁移率和霍尔电阻率与退火温度的关系。

图2 不同退火温度的BDD样品 (a) 213 nm激发的低温(10 K)光致发光光谱;(b) 532 nm激发的室温(300 K)光致发光光谱。
copyright
2000-
永乐汇 沪ICP备05015387号-1
主办:永乐汇 上海市嘉定区清河路390号(201800)
转载本站信息,请注明信息来源和链接。
沪公网安备
31011402010030号

